7.1 抗火設想步驟
7.1.1 鋼布局構件抗火設想可接納第7.1.2 或7.1.3 條劃定的步驟停止。7.1.2 鋼布局構件抗火設想體例一的步驟為:
1 按第6.5.1 條停止荷載效應組合。
2 按照構件和荷載范例,按第7.4 和7.5 節有關條則,肯定構件的臨界溫度Td。
3 當掩護資料為收縮型時,掩護層厚度可按實驗體例肯定。當掩護資料為非收縮時,可按下述體例計較所需防火被覆厚度:
1)由給定的臨界溫度Td、耐火極限(標準升溫時候t或等效曝火時候te),按附錄G查表肯定構件單元長度綜合傳熱系數B。
2)由下式計較掩護層厚度:
若是防火掩護資料的等效導熱系數按照附錄A 肯定,則無需斟酌防火被覆中水份引發的提早時候。
以上百般中標記意思同第6.3 節。
7.1.3 鋼布局構件抗火設想體例二的步驟為:
1 設定必然的防火被覆厚度。
2 按第6.3 節有關條則計較構件在請求的耐火極限下的外部溫度。
3 按第4.1 節有關條則肯定低溫下鋼材的參數,按第6.4 節有關條則計較布局構件在外荷載和溫度感化下的內力。
4 按第5.2 節劃定停止布局闡發(含溫度效應闡發),并按第6.5 節停止荷載效應組合。
5 按照構件和受載的范例,按第7.2 和7.3 節有關條則停止構件耐火承載力極限狀況驗算。
6 當設定的防火被覆厚度分歧當令(太小或過大),可調劑防火被覆厚度,頻頻上述1~5 步聚。
7.1.4 鋼布局全體的抗火驗算可按下列步驟停止:
1 設定布局一切構件必然的防火被覆厚度。
2 肯定必然的火警場景。
3 停止火警溫度場闡發及布局構件外部溫度闡發。
4 在第6.5.1 條劃定的荷載感化下,闡發布局是不是知足第5.1.3 條的請求。
5 當設定的布局防火被覆厚度分歧當令(太小或過大),調劑防火被覆厚度,頻頻上述 1~4 步驟。
條則聲明函
7.1 抗火設想步驟7.1.1 本節保舉了兩種鋼布局構件抗火設想體例,這兩種體例本色上是等效的。體例一(7.1.2)本色上是按第5.1.3 條第三款的設想請求停止鋼布局抗火設想,體例二(7.1.3)本色上是按第5.1.3 條第一款的設想請求停止鋼布局杭火設想。在工程利用中,體例一比喻式二簡略,但體例一難以反應溫度內力對鋼構件臨界溫度的影響(需頻頻迭代)。是以,當鋼構件在火警中的溫度內力占荷載組合效應的比例較小可類似疏忽時,宜接納體例一停止抗火設想,較為簡潔;而當構件中溫度內力占荷載組合效應的比例較大時,宜接納體例二停止抗火設想,較為直觀。
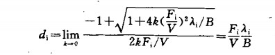
7.1.2 在體例一中按式(6.3.1)計較鋼構件溫度時,必須利用計較機。為便利利用,對式(6.3.1) 停止計較機迭代計較,將計較成果列表于附錄G ,設想中可間接查用。當按照臨界溫度和耐火時候請求查附錄G 得出綜合傳熱系數B 后,從式(6.3.2-3)解出掩護層厚度di 即得式(7.1.2-1) .因為今朝防火資料廠家未供給掩護資料的ci和ρi,式(7.1.2-1) 中k 值常常便利肯定。當k 值便利肯定,或掩護資料的吸熱才能較小(ci和 ρi較小)時,可疏忽其影響(偏于寧靜),令

當所選掩護資料含有較大水份時,溫度回升到100 ℃ 水份蒸發,接收的熱量大局部用于蒸發水份,而掩護資料的溫度根基不降低。當水份蒸發完后,掩護資料溫度從頭回升。爾后,升溫曲線與干資料類似,但需看滯后時候tv。滯后時候tv 即水份蒸發所占用的時候,按照ECCS 實驗成果給出式(7.1.2-3)。具體內容請參見屈立軍等著《 修建布局耐火設想》 (中國建材產業出書社,1995 年).
7.1.3、7.1.4 本色上是按5.1.3 條第一款的設想請求停止鋼布局構件和鋼布局全體抗火設想。

徵信公家號
電話客服手機微信