附錄B 室內火警均勻溫度計較
B.0.1 當能切確確定建設窒內外有關的叁數時,在t 未時窒內外火警的均衡攝氏度Tg可單擊式最速下降法斤斤計較:
D——熱開釋速度系數,按第B.0.2條肯定;
η——房間的透風系數按式(6.1.3-2)計較;
a——對流、輻射換熱系數之和[W/(m2·℃)],按第B.0.3 條肯定;
Cg——煙氣比熱容(J/(kg·℃) ),按表B.0.4 取值;
T1——壁面內外表溫度(℃)按第B.0.5條肯定。
B.0.2 熱開釋速度系數D 按下式計較:
t0逐一房間內一切可燃物燒盡時的火警實際延續時候( min );
qT逐一房間設想火警荷載密度,按附錄C 取值。
B.0.3 對流、輻射換熱系數之和按式(B.0.3)計較:
表B.0.4 工業廢氣比熱容cg
1 將壁面封墻、樓板厚度(均取150mm ),按厚度為10mm 別離為15 個薄層,交壤處在時辰t 時的溫度別離為T(1,t),T(2,t),… ,T( 16 ,t ),此中( 1,t)為房間內外表溫度,T( 16 ,t)為房間外外表溫度。
2 將轟燃后的火警延續時候t 團圓為△t,可取△t=60s。
3 操縱初始前提,令一切節點溫度T( i,0)=20℃ 。
4 在肆意時辰t節點i的導溫系數a可按下式計較:
a2——加氣混凝土的導溫系數(m2/s);
T——計較節點的溫度(℃)。
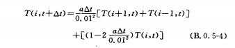
5 按下式計較一切內節點(除內、外外表,i=2~15)的溫度T(i,t+△t):

λ2——加氣混凝土的導熱系數[W/( m·K)〕];
T——T(16,t)、T( 15,t)即外外表和相鄰節點的均勻溫度(℃ )。
7 外外表的溫度可按下式計較:
9 內外表的溫度可按下式計較:

徵信公家號
網上客服微信朋友圈